IMPACT OF TOURISM ACTIVITIES ON GLACIAL CHANGES BASED ON THE TOURISM HEAT FOOTPRINT (THF) METHOD
Shuxin Wanga,b*, Jiankuo Duc, Shuang Lic, Hong Hec, Wei Xua
a Institute of Territorial Economics, Shaanxi University of Technology, China
b Institute of Mountain Hazards and Environment, Chinese Academy of Sciences, China
c School of Historical Culture and Tourism Management, Shaanxi University of Technology, China
*corresponding author. Email: This email address is being protected from spambots. You need JavaScript enabled to view it.
Abstract: Nature-based tourism directly and indirectly affects the flora, fauna and environment, thereby reducing the sustainability of tourism destinations. However, the impact of tourism activities on glaciers at glacial tourism sites remains unexplored. Using two typical glacial tourism sites in China as examples, this paper uses the tourism heat footprint (THF) method to examine the impact of large-scale tourism activities on glaciers via local average temperatures. The THF method measures anthropogenic heat release (AHR) from energy consumption and human metabolism per unit area and time divided into seven components of tourism activities: transportation, accommodation, sightseeing, catering, entertainment, shopping and waste disposal. The main results show that the THF values of the Yulong and Hailuogou tourism zones are exhibiting a rapid growth trend, increasing from 8.7×10-3 and 4.0×10-4 Wm-2 in 1990 to 3.6 and 3.0×10-1 Wm-2 in 2017, respectively. These THFs are exerting a significant cumulative effect on the retreat of glaciers by increasing local average temperatures in conjunction with global climate change. These results show that the sustainability of glacial tourism and destinations is threatened by large-scale tourism activities. This study fills a current research gap, enriches the understanding of the impact of tourism activities on glacial resources and expands the analytical perspective of sustainable tourism research. Moreover, this study provides decision support for managing glacial scenic destinations and for the sustainable development of glacial tourism.
Keywords: AHR; THF; glacial retreat; cumulative effect
Abbreviations
AAW: average amount of waste; AHR: anthropogenic heat release; ALS: average length of stay; NST: number of shopping trips; INT: integral nonsleep time; IST: integral sleep time; TAI: total area of integration; THF: tourism heat footprint; TTA: total tourist arrivals; TTI: total time of integration
1. Introduction
Tourism, as one of the world’s largest and fastest growing industries, contributes 10.2% of the world gross domestic product, reaching US$7.6 trillion (WTTC, 2017). Increasing numbers of researchers, governments and organizations have analyzed the influence of large-scale tourism activities on the environment (Wang et al., 2017). Large-scale tourism activities have created a series of environmental issues, causing some problems in terms of environmental sustainability (Ozturk et al., 2016). Tourism activities influence climate change at the global scale. UNWTO and UNEP (2008) show that the contribution of CO2 produced by energy consumption associated with tourism activities to climate warming is between 4.6% and 7.8%. Tourism also causes water shortages on the regional (Gössling et al., 2012) and local scales (Cole, 2014) and ecological deficits at some tourism destinations (Castellani and Sala, 2012).
Nature-based tourism, in particular, strongly depends on tourism resources in natural areas (Priskin, 2001). Tourism activities within and close to natural areas may have negative impacts on tourism resources, such as decreases in biodiversity, plant coverage, soil, and water (Canteiro et al., 2018). These activities are considered one of the major threats to wilderness ecosystems and a frequent threat to threatened species (Ballantyne and Pickering, 2013). Existing research on the impact of nature-based tourism on natural tourism resources has primarily concentrated on three aspects. The first aspect is the impact of tourism activities on flora. The majority of studies agree that tourism activities have caused negative changes in flora, such as decreases in richness and diversity (Andres-Abellan et al., 2005) and in the stratification of plant species (Wu and Chen, 2016) at some tourism destinations. Tourism activities have also threatened the diversity of vascular plants around the world (Rankin et al., 2015), especially in Arctic (Tolvanen and Kangas, 2016) and alpine (Willard et al., 2007) areas. Tourism activities indirectly decrease the amount of green space and views of natural landscapes through the building of tourism facilities (Tyrväinen et al., 2014). The second aspect explored in existing research is the impact of tourism activities on fauna. Nature-based tourism can directly influence the majority of wildlife by, for example, affecting animals’ habitats (Sánchez-Caballero and Borges-Souza, 2018) and behavior (Geffroy et al., 2015). However, small-scale tourism activities have not brought substantial harmful changes to fauna such as forest bird communities (Huhta and Sulkava, 2014). Due to effective management, monitoring, and enforcement, tourism activities are likely to support apex predator conservation and/or recovery (Macdonald et al., 2017). The third aspect is the impact of tourism activities on the environment. The majority of research in this area has concentrated on greenhouse gas emissions due to tourism activities at the national level, such as Australia (Dwyer et al., 2010), Malaysia, Singapore, Thailand (Azam et al., 2018), and Turkey (Katircioglu, 2014); at the regional level, such as Poole (Filimonau et al., 2011) and Wales (Max et al., 2013); and at the local level, such as Penghu Island (Kuo and Chen, 2009) and Huangshan National Park (Li et al., 2012). Tourism activities also result in water pollution (Ning and He, 2007), changes in air and water temperatures (Šebela and Turk, 2014), increases in the amount of water pollution in show caves (Lang et al., 2017) and hydrocarbon pollution in sinkholes (León-Borges and Lizardi-Jiménez, 2017), and decrease air quality (Saenz-de-Miera and Rosselló, 2014).
From the perspective of research methods, a number of methods have been used in recent years to evaluate the impact of tourism activities on tourism resources and on the natural environment. Among them, the tourism footprint family represents a very important group of methods; this family of methods includes the tourism ecological footprint method (Castellani and Sala, 2012), the tourism carbon footprint method (Pereira et al., 2017), the tourism water footprint method (Gössling, 2015), and the THF method (Wang et al., 2018). A quantitative statistical model method (Saenz-de-Miera and Rosselló, 2014), remote sensing and GIS methods (Geneletti and Dawa, 2009), and an experimental observation method (Šebela and Turk, 2014) have also been used to quantify the impact of tourism activities on tourism resources and the natural environment. These methods have played an important role in scientifically and quantitatively assessing the environmental impact of tourism activities in different fields.
However, the effect of tourism on many natural resources that are closely linked to tourism activities, such as glaciers, remains unexplored. Glaciers are unique and magnificent features of the natural landscape and represent important tourist attractions. The Aletsch Glacier in Switzerland, the Malaspina Glacier in the United States and Canada, the Athabasca Glacier in Canada, the Perito Moreno Glacier in Argentina, the Pindari Glacier in India (Wang et al., 2010), Baishui Glacier No. 1 in Yulong Snow Mountain and the Hailuogou Glacier in China have become well-known glacial tourism destinations, and the scale of glacial tourism activities continues to grow rapidly. Numerous studies have analyzed the impact of changes in glaciers, ice and snow on tourism activities (Mcdowell et al., 2014) and adaptation strategies (Morrison and Pickering, 2013). However, research on the impact of tourism activities on glacial changes is lacking (Xu et al., 2009). Large-scale glacial tourism activities may accelerate the retreat of glaciers at tourism destinations, threatening the sustainability of glacial tourism. This issue deserves immediate attention.
Given this background, our main research questions are as follows. (1) How do large-scale tourism activities at glacial tourism destinations influence glacial changes? (2) Under the conditions of climate change, have large-scale tourism activities accelerated the retreat of glaciers?
Taking two typical glacial tourism destinations in China as examples, this study evaluates the impact of tourism activities on changes in glaciers. This work could narrow the current research gap by enriching our understanding of the impact of tourism activities on glacial resources and expanding the analytical perspective of sustainable tourism research. This work also offers practical value by providing decision support for managing scenic glacial spots and for the sustainable development of glacial tourism.
This paper is divided into 5 sections. The first section explains the relevance and the importance of the study. The next section explains the study areas and research methods. In section 3, we present the results and scientifically interpret the impact of large-scale tourism activities on glacial changes in the tourism zones. The discussion is presented in section 4, and the conclusion is given in the final section.
2. Study areas and research methods
2.1. Study areas
In China, glacial tourism emerged in the 1990s. Since then, the number of glacial tourist attractions has increased to more than 20, spread across Yunnan, Sichuan, Tibet, Qinghai, Gansu and Xinjiang Provinces in western China. Among these scenic locations, the Yulong Snow Mountain Glacier Park and the Hailuogou Glacier Forest Park are typical examples, with low elevations, easy access, complex and diverse glacial landforms, and beautiful natural scenery (Wang et al., 2010). The glaciers offer numerous tourism activities and attract many tourists.
Yulong Snow Mountain (27°10′~27°40′N, 100°09′~100°20′E) is located at the southeastern edge of the Qinghai-Tibet Plateau and south of Hengduan Mountain. The main peak is 5,596 m above sea level, and the mountain features marine glaciers, which are the closest to the equator in Eurasia. Currently, the mountain harbors 15 glaciers (Wang et al., 2010). Glacial tourism activities are concentrated at the Yulong Snow Mountain National Glacier Park, specifically, Baishui Glacier No. 1. The park has developed into a representative glacial tourist attraction and was categorized as a class 5A tourism attraction by the National Tourism Administration of China in 2007. To view the glacier, visitors ride a cable car to an observation station at the foot of the glacier. According to the Lijiang Tourism Development Committee, the number of tourists visiting Yulong Snow Mountain National Glacier Park has increased rapidly since the 1990s, from 7.0×103 in 1990 to approximately 4.2×106 in 2017, with an average annual growth rate of 26.7%. Considering the geographical proximity of Yulong Snow Mountain National Glacier Park to the urban area of Lijiang (approximately 15 km away) and the main catering, accommodation, entertainment and shopping for glacial tourists in Lijiang, this paper calculates the THF values based on data from the Yulong tourism zone (including the Yulong Snow Mountain National Glacier Park and the urban area of Lijiang). The main area of this zone is demarcated according to the characteristics of various tourism activities and major tourist routes (see Fig. 1) and has an area of 2.8×108 m2, as estimated with ArcGIS software. According to the Lijiang Tourism Development Committee, the number of tourists visiting the Yulong tourism zone increased from 6.9×104 in 1990 to 2.9×107 in 2017, with an average annual growth rate of 25.1%. The retreat of Baishui Glacier No. 1 in Yulong Snow Mountain increased by 8.8 m/a during 1982-1999. During 1999-2011, the retreat accelerated to 13.8 m/a (Du et al., 2013).
Gongga Mountain (29°29′~29°39′N, 101°52′~102°10′E) is located on the southeastern edge of the Qinghai-Tibet Plateau. The main peak is 7,514 m above sea level, and the mountain currently features 74 glaciers (Zhang et al., 2015a). The center of glacial tourism activities is the Hailuogou Glacier Forest Park. As a representative glacial tourism site, the Hailuogou Glacier is characterized by low elevations and strong glacial activity. The ice tongue extends below the line of the Emei fir forest, forming a unique landscape involving a glacier and forests. In 2017, the Hailuogou Glacier Forest Park was upgraded from a class 4A to a class 5A tourism attraction by the National Tourism Administration of China. In Fig. 1, the primary tourism activity area of the Hailuogou tourism zone, with an area of 1.5×108 m2 as measured with ArcGIS software, is defined according to the activity characteristics and main tourist routes. According to the Hailuogou Scenic Spot Administration, the number of Hailuogou tourists has increased tremendously since the 1990s, from 2.7×103 in 1990 to 1.8×106 in 2017, with an average annual growth rate of 27.2%. The rate of retreat of the Hailuogou Glacier was 0.9 m/a during the period 1967-1989 and accelerated to 2.4 m/a during the period 1990-2006 (Li et al., 2010).

Fig. 1. Locations of the Yulong tourism zone and the Hailuogou tourism zone
2.2. Research method
With ongoing development of the Yulong and Hailuogou tourism zones, the scale of glacial tourism activities has been constantly increasing, resulting in massive AHR to the environment from energy consumption and human metabolism. Because glaciers are uniquely sensitive to the thermal environment, even a slight temperature fluctuation can cause major changes in a glacier (He et al., 2003a). This dynamic indicates that glacial tourism activities may influence the glaciers via changes in the average temperatures. Hence, confirming that a specific method can be used effectively to evaluate the impact of AHR from tourism activities on the glaciers is necessary.
The abovementioned methods for evaluating the impact of tourism activities on tourism resources and the natural environment have advantages in different fields. They can be used to achieve different research goals. The tourism ecological footprint method mainly measures the actual consumption of natural resources and generation of waste by tourists in terms of the appropriated area of land and water in the relevant ecosystem and evaluates the impact of tourism activities on ecological balance relative to a certain area (Hunter, 2002). The tourism carbon footprint method mainly concentrates on measuring the quantity of greenhouse gases, such as CO2, generated by tourism activities. These methods cannot be used to evaluate the impact on temperature at the microscale (Wang et al., 2017). The tourism water footprint method mainly focuses on the effects of tourism-related water consumption on water resources. Quantitative statistical models can be used to effectively estimate the relationship between tourism activities and the environment, and remote sensing GIS and experimental observation methods can be used to effectively analyze the changes in natural resources and the environment at tourism destinations; however, these methods are not effective at explaining how tourism activities influence natural resources and the environment. Generally, these methods are limited in their ability to capture the impact of tourism activities on glacial changes. In contrast to these methods, the THF method can effectively measure AHR due to tourism activities (Wang et al., 2018) and explain how tourism activities influence glaciers via changes in the average temperatures.
Based on these considerations, the THF method was used to analyze the impact of tourism activities on changes in glaciers via changes in the average temperatures. According to the definition of the THF method, AHR is composed of two parts: energy consumption from tourism activities and human metabolism. The THF represents the total AHR per unit area and time due to tourism activities (Wang et al., 2018) and can be calculated using formula (1).
(1)
where AHRenergy is the heat release resulting from tourism-related energy consumption (J), AHRhuman is the heat release resulting from the metabolism of the human body related to glacial tourists (J), TTI is the total time of integration (s), and TAI is the total area of integration (m2).
With reference to Wang et al. (2017), the sources of the heat released by tourism-related energy consumption can be divided into seven categories: transportation, accommodation, sightseeing, catering, entertainment, shopping, and waste disposal. This analytical framework is more complete than earlier frameworks. For example, the analytical framework for empirical analysis proposed by Kuo and Chen (2009) defines only three tourism-related categories: transportation, accommodation, and recreational activities. A four-part analytical framework including local transport, accommodation and restaurant services, retail goods, and recreation and leisure services was proposed by Sharp et al. (2016). The formulas for calculating the heat consumption of these respective segments are shown in equations (2) to (8), as follows:
(2)
where AHRtransportation refers to the heat release from transportation, ai is the AHR coefficient for the ith type of vehicle (including two types of vehicles, small and large), TTA represents the total tourist arrivals, and bi is the proportion of tourists who use the ith type of vehicle.
(3)
In equation (3), AHRaccommodation is the heat release from tourism accommodations, γi is the AHR coefficient per night per bed for the ith type of tourism accommodation facility (including seven types of facilities: five-star, four-star, three-star, two-star, one-star, and express hotels and special residential houses), ALS is the tourists’ average length of stay in the Yulong and Hailuogou tourism zones, and δi is the proportion of tourists who stay at the ith type of tourism accommodation facility.
(4)
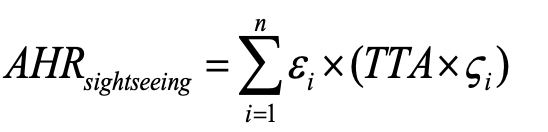
In equation (4), AHRsightseeing is the heat release from sightseeing, εi is the AHR coefficient for the ith type of tour (including the glacier tour and the ancient city tour in the Yulong tourism zone and the glacial tour in the Hailuogou tourism zone), and ζi represents the proportion of tourists going on the ith type of tour.
(5)
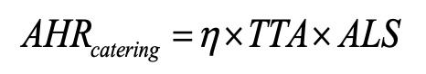
In equation (5), AHRcatering refers to the heat release from catering, and η is the AHR coefficient for catering.
(6)
In equation (6), AHRentertainment is the heat release from tourism entertainment, θi is the AHR coefficient of the ith type of entertainment activity (including hotel entertainment, karaoke, bars, shows, and campfire parties), and ιi is the proportion of tourist arrivals who participate in the ith type of entertainment activity.
(7)
In equation (7), AHRshopping is the heat release from tourism shopping, κ is the AHR coefficient of tourist shopping, and NST represents the number of shopping trips.
(8)
In equation (8), AHRwaste is the heat release from tourism waste disposal, λ is the AHR coefficient for tourism waste disposal, and AAW is the average amount of waste generated per tourist per day.
The heat release generated by the metabolism of the human body is based on the formula devised by Sailor and Lu (2004):
(9)
where IST is the integral sleep time, INT represents the integral nonsleep time, μ1 refers to the average metabolic rate of the human body during sleep, and μ2 refers to the average metabolic rate of the human body while awake. We assume that tourists sleep 8 hours per day and use the remaining time for tourism and other activities. Based on Fanger (1972) and Fulton (1984), μ1 and μ2 are set to 75 W and 175 W, respectively.
2.3. Survey data
The questionnaires, which were given to glacial tourists and tourism firms in the Yulong and Hailuogou tourism zones, were structured according to seven themes: (1) transportation, including the energy consumption of small and large vehicles per tourist and the proportions of tourists taking small and large vehicles; (2) accommodation, including the energy consumption of various hotel types per night per bed, the proportions of tourists staying at various hotel types, and tourists’ average lengths of stay; (3) sightseeing, including the energy consumption of the glacial and ancient city tours per tourist and the proportion of tourists visiting the glacier and the ancient city; (4) catering, including the energy consumption of tourist catering per tourist; (5) entertainment, including the energy consumption of tourists enjoying hotel entertainment, karaoke, bars, shows, and campfire parties per tourist; (6) shopping, including the energy consumption of tourist shopping per tourist and the number of shopping trips; and (7) waste disposal, including the average amount of waste generated per tourist per day and the energy consumption from tourism waste disposal per kg. Based on the energy consumption data (mainly including coal, gasoline, diesel fuel, electricity, and liquefied petroleum gas) of tourism activities and the conversion coefficients of energy consumption types (see Table 1), we calculated the heat release coefficients of tourism activities.
Table 1
Conversion coefficients of energy consumption types (The People’s Republic of China, 2008)
|
Energy Type |
Unit |
Heat Release (MJ) |
|
Coal |
kg |
20.9 |
|
Gasoline |
kg |
43.1 |
|
Diesel fuel |
kg |
42.7 |
|
Electricity |
kWh |
3.6 |
|
Liquefied petroleum gas |
m3 |
50.2 |
Energy consumption data and the proportions of tourists and tourism firms were primarily obtained through field surveys conducted by the authors during 2016-2017. Survey questionnaires related to transportation, accommodation, sightseeing, catering, entertainment, shopping, and waste disposal were distributed to tourists (n=1,200) and tourism firms (n=400) in the Yulong and Hailuogou tourism zones. Of these, 1,113 and 329 valid questionnaires were recovered for the two sites, corresponding to recovery rates of 92.8% and 82.3%, respectively. Specifically, 680 and 220 survey questionnaires were distributed to tourists and tourism firms, respectively, in the Yulong tourism zone, and 631 and 182 valid questionnaires were recovered, resulting in respective recovery rates of 92.8% and 82.7%, respectively. In the Hailuogou tourism zone, 520 and 180 survey questionnaires were distributed to tourists and tourism firms, respectively, and 482 and 147 valid questionnaires were recovered, yielding recovery rates of 92.7% and 81.7%, respectively. In addition, based on the results of field surveys, we calculated the proportions and other coefficients in the Yulong and Hailuogou tourism zones (see Table 2).
Table 2
AHR coefficients and proportions of tourism activities in the Yulong and Hailuogou tourism zones
|
Coefficient |
Type |
Yulong tourism zone |
Hailuogou tourism zone |
|
|
ai |
AHR of small vehicles per tourist |
248.6 MJ |
123.4 MJ |
|
|
AHR of large vehicles per tourist |
122.1 MJ |
72.1 MJ |
||
|
bi |
Proportion of tourists taking small vehicles |
24.7% |
54.2% |
|
|
Proportion of tourists taking large vehicles |
75.3% |
45.8% |
||
|
γi |
AHR of five-star hotels per night per bed |
173.8 MJ |
170.9 MJ |
|
|
AHR of four-star hotels per night per bed |
148.4 MJ |
150.3 MJ |
||
|
AHR of three-star hotels per night per bed |
137.9 MJ |
137.2 MJ |
||
|
AHR of two-star hotels per night per bed |
119.9 MJ |
116.1 MJ |
||
|
AHR of one-star hotels per night per bed |
84.2 MJ |
76.5 MJ |
||
|
AHR of express hotels per night per bed |
79.6 MJ |
75.7 MJ |
||
|
AHR of special residential houses per night per bed |
61.2 MJ |
63.7 MJ |
||
|
δi |
Proportion of tourists staying at five-star hotels |
15.4% |
5.6% |
|
|
Proportion of tourists staying at four-star hotels |
10.9% |
15.9% |
||
|
Proportion of tourists staying at three-star hotels |
10.1% |
13.6% |
||
|
Proportion of tourists staying at two-star hotels |
2.7% |
6.5% |
||
|
Proportion of tourists staying at one-star hotels |
0.7% |
1.3% |
||
|
Proportion of tourists staying at express hotels |
10.3% |
21.8% |
||
|
Proportion of tourists staying at special residential houses |
49.9% |
35.3% |
||
|
ALS |
Tourists’ average length of stay |
4.3 days |
2.9 days |
|
|
εi |
AHR of the glacier tour per tourist |
30.6 MJ |
32.3 MJ |
|
|
AHR of the ancient city tour per tourist |
6.5 MJ |
— |
||
|
ζi |
Proportion of tourists visiting the glacier |
58.6% |
85.1% |
|
|
Proportion of tourists visiting the ancient city |
100% |
— |
||
|
η |
AHR of tourist catering per tourist |
95.3 MJ |
86.6 MJ |
|
|
θi |
AHR of tourists enjoying hotel entertainment per tourist |
16.7 MJ |
13.5 MJ |
|
|
AHR of tourists enjoying karaoke per tourist |
15.9 MJ |
15.3 MJ |
||
|
AHR of tourists visiting bars per tourist |
14.2 MJ |
12.1 MJ |
||
|
AHR of tourists attending shows per tourist |
13.2 MJ |
13.3 MJ |
||
|
AHR of tourists attending campfire parties per tourist |
50.1 MJ |
50.4 MJ |
||
|
ιi |
Proportion of tourists enjoying hotel entertainment |
7.0% |
13.0% |
|
|
Proportion of tourists enjoying karaoke |
5.2% |
2.3% |
||
|
Proportion of tourists visiting bars |
18.9% |
9.0% |
||
|
Proportion of tourists attending shows |
46.9% |
18.5% |
||
|
Proportion of tourists attending campfire parties |
14.1% |
20.0% |
||
|
κ |
AHR of tourist shopping per tourist |
4.2 MJ |
3.2 MJ |
|
|
NST |
Tourists’ number of shopping trips |
3.8 times |
2.5 times |
|
|
AAW |
Average amount of waste generated per tourist per day |
3.1 kg |
2.9 kg |
|
|
λ |
AHR of tourism waste disposal per kg |
0.6 MJ |
0.6 MJ |
|
Tourist arrival data were obtained from the Lijiang Tourism Development Committee and the Hailuogou Scenic Spot Administration. Meteorological data and glacial change data (glacier mass balance, an important indicator reflecting glacial changes) were obtained from the Yulong Snow Mountain Glacier and Environmental Observation Station, the Gongga Mountain Alpine Ecosystem Observation and Experiment Station of the Chinese Academy of Sciences, and the Weixi Meteorological Station, where routine observations regarding meteorological changes and glacial changes in the Yulong and Hailuogou tourism zones were made. Based on the meteorological data, we calculated the average temperature of the Yulong and Hailuogou tourism zones and that of Weixi County.
3. Results
3.1. Patterns of change in the THF
Fig. 2 shows that the THF values in the Yulong and Hailuogou tourism zones have exhibited a rapid growth trend. The THF of the former increased from 8.7×10-3 Wm-2 in 1990 to 3.6 Wm-2 in 2017, with an average annual growth rate of 25.0%. The THF of the latter increased from 4×10-4 Wm-2 in 1990 to 3×10-1 Wm-2 in 2017, with an average annual growth rate of 27.8%. Compared with the 2005 result of 2.2 ×10-1 Wm-2 obtained by Flanner (2009) and the 2008 result of 2.8 ×10-1 Wm-2 reported by Chen et al. (2011) for heat release in China, the THF values for the Yulong tourism zone (3.6×10-1 Wm-2 in 2005 and 5.5×10-1 Wm-2 in 2008) are obviously higher, whereas the THF values for the Hailuogou tourism zone (3.5×10-2 Wm-2 in 2005 and 3.3×10-2 Wm-2 in 2008) are lower. The rapid increase in tourist arrivals has become a major driver of the change in the THF, as shown by the close correlation between the two variables. Tourist arrivals in the Yulong tourism zone increased from 6.9×104 in 1990 to 2.8×107 in 2017. Tourist arrivals in the Hailuogou tourism zone increased from 2.7×103 in 1990 to 1.9×106 in 2017. In addition, 60% of yearly tourist arrivals at the Yulong and Hailuogou tourism zones occurred during the high tourism season, coinciding with the Chinese May Day Holidays, Chinese National Day Holidays and summer holidays. However, the duration of the reception time was only approximately 65 days, resulting in a significant increase in the THF during the peak season. For example, in the 2017 peak season, the THFs of the Yulong and Hailuogou tourism zones reached 12.1 Wm-2 and 1.0 Wm-2, respectively. Overall, the THF during the peak season was approximately four times the annual average at both destinations.

Fig. 2. Changes in the THF and tourist arrivals for the Yulong and Hailuogou tourism zones
3.2. Structural characteristics of the THF
An analysis of the THF structure (see Fig. 3) shows that the THFs in the Yulong and Hailuogou tourism zones are consistent, with the highest proportion of the THF deriving from tourism accommodations. This proportion accounts for 39.1% and 38.5% of the THFs in the Yulong and Hailuogou tourism zones, respectively. The second highest proportion, constituting 36.2% and 35.5% of the total in the Yulong and Hailuogou tourism zones, respectively, corresponds to tourism catering, and the proportion of tourism transportation ranks third, representing 13.9% and 13.1%, respectively. Overall, for the Yulong and Hailuogou tourism zones, accommodation, catering, and transportation are the main components, together accounting for approximately 90% of the total THF. This is consistent with the results of Hanandeh (2013), who found that transportation, catering, and accommodations are the main components of the Hajj’s tourism carbon footprint and that they account for 91% of the total. The metabolism of the human body, sightseeing, entertainment, shopping, and waste disposal together constitute a smaller proportion of the total THF, approximately 10%. Viewed from another perspective, the contribution to the THF of energy consumption due to accommodation, catering, transportation, sightseeing, entertainment, shopping, and waste disposal in the Yulong and Hailuogou tourism zones is 95.2% and 95.3%, respectively. The contribution of the metabolism of the human body to the THF in those zones is 4.8% and 4.7%, respectively.

Fig. 3. Structure of the THF in the Yulong and Hailuogou tourism zones
3.3. Impact of the THF on changes in temperatures and glaciers
Fig. 4 shows the relationship between the THFs in the Yulong and Hailuogou tourism zones and the average temperature. The least squares method was used to create a curve fitting the THFs in the two zones (the explanatory variable x) and the average temperatures (the response variable y). The F-statistics of the fitting equations are 27.8 and 13.3, respectively, both significant at the 1% level. These outcomes indicate that the THFs and the average temperatures of the two zones exhibit a significant logarithmic correlation. The THF exerted a significant temperature-increasing forcing effect on the local temperature.

Fig. 4. Relationship between the THFs and the average temperature in the Yulong and Hailuogou tourism zones
The regression coefficient for the THF in the Yulong tourism zone is 0.2737 (significant at the 1% level) and is higher than that of the Hailuogou tourism zone (0.1735, also significant at the 1% level). These outcomes indicate that the temperature-increasing radiation associated with the THF in the Yulong tourism zone is stronger than that in the Hailuogou tourism zone. This difference may be related to the greater scale of tourism and the more intense THF in the Yulong tourism zone, which is one order of magnitude higher than that of the Hailuogou tourism zone. Thus, the THFs generated by tourism at different scales differ in their temperature-increasing effects on the local temperature. If all other conditions are constant, the temperature-increasing effect created by the THF is stronger when the scale of tourism is larger. The coefficients of determination for the curves fitting the THF and the temperature change for the Yulong and Hailuogou tourism zones are R2=0.5372 and R2=0.3565, respectively. These outcomes indicate that the THFs of the Yulong tourism zone and the Hailuogou tourism zone have explanatory power with respect to changes in local temperature. Furthermore, the explanatory power is much stronger in the case of the Yulong tourism zone. In addition to the THF, other factors play important roles in the local temperature change process. In particular, when the THF is low, substantial changes in the temperature of the glacial tourism zones may be more closely related to global climate change.
Fig. 5 shows that the average temperatures and changes in the glacial mass balance in the Yulong and Hailuogou tourism zones exhibit significant inverse relationships. With the significant increase in the average temperatures of both zones, the losses in glacial mass balance have accelerated. This analysis indicates that in the context of global climate change, the THFs generated by large-scale tourism activities within the Yulong and Hailuogou tourism zones have significant local temperature-increasing effect. And these temperature increases have had a cumulative effect on glacial changes. This effect is contrary to the sustainability of glacial tourism and destinations.

Fig. 5. Average temperatures and changes in the glacial mass balance in the Yulong and Hailuogou tourism zones
4. Discussion
In contrast to recent studies on glacial changes in which natural factors such as climate change and changes in precipitation were examined (Zhang et al., 2015a), this study used the THF method to investigate the effect of the heat released by energy consumption and human metabolism on local temperatures and glacial changes. The results show that the THF method can be used to evaluate the impact of tourism activities on glaciers. The THF method compensates for the limitations of other methods, for example, the tourism carbon footprint method mainly concentrates on measuring greenhouse gas emissions related to tourism activities and cannot assess the impact of tourism activities on natural tourism resources. The new analytical dimension enriches the perspective of current research on the environmental impact of tourism activities.
Existing studies support the conclusion that the THF has significantly increased the local temperatures in the Yulong and Hailuogou tourism zones. The AHR caused by the concentration of energy consumption and human body metabolism in local areas can heat the ground and the troposphere, creating radiative forcing in the atmosphere that may cause local climate change (Koralegedara et al., 2016). The AHR of energy consumption in typical urban areas makes an approximately linear contribution to the increase in local temperature. When the AHR is stronger, the contribution is also stronger (Niu et al., 2012). In particular, large-scale population aggregation and outflow significantly affect the temperature in urban areas and lead to the heat island effect (Zhang et al., 2015b). This phenomenon has also been observed in tourist cities. The increase in the tourist population during the Spring Festival caused warming in the city of Sanya and intensified the heat island effect there (Zhang and Wu, 2015).
Other facts support the finding that a THF temperature-increasing effect on glacial tourism zones is generated by large-scale tourism activities. Considering their similar natural backgrounds and their geographical proximity, a comparison between temperature changes in the Yulong tourism zone and Weixi County is revealing. The latter features fewer tourism activities and is 50 km from the Yulong tourism zone. The comparison (see Fig. 6) shows that the increasing temperature trends at the two locations were not significant prior to 1990. The temperature trend rates were 3.6×10-2 °C/10a and 4.2×10-2 °C/10a in the Yulong tourism zone and Weixi County, respectively. The difference between the two rates was only 6×10-3 °C/10a, and Weixi County exhibited a greater warming trend. After 1990, which marked the beginning of a period of rapid development in the Yulong tourism zone, both the Yulong tourism zone and Weixi County displayed significant warming trends; however, the trend was more pronounced in the former. The temperature trend rates in the two areas were 5.6×10-1 °C/10a and 3.6×10-1 °C/10a, respectively. The difference between the two areas increased to 2.0×10-1 °C/10a. The slope of the temperature trend in the Yulong tourism zone was 1.6 times that in Weixi County. Hence, the THF generated by large-scale tourism activities may be an important reason for the higher warming rate in the Yulong tourism zone.

Fig. 6. Average temperature difference between the Yulong tourism zone and Weixi County, 1955-2015
Coupled with climate change, the temperature-increasing effect has significantly increased the temperature of glacial tourism zones and has accelerated glacial melting. This finding is consistent with observations made in previous related studies. Climate change is the dominant factor in accelerated glacial retreat (Vaughan et al., 2013), particularly in the case of temperate glaciers, such as Baishui Glacier No. 1 and the Hailuogou Glacier, which are more sensitive to climate change (Zhang et al., 2015a) than to other factors. The increase in temperature has become a major cause of the accelerated retreat of the Yulong (Du et al., 2013) and Hailuogou (Zhang et al., 2015a) glaciers. Black carbon and other aerosol materials emitted during energy use can form brown clouds that locally heat the upper atmosphere and act directly on high-elevation glaciers, contributing to glacial melting (Xu et al., 2009). Hence, the temperature change in glacial tourism zones is closely correlated to both global climate change and large-scale tourism development.
Currently, China is in an era of comprehensive mass tourism development. The rapid development exhibited by the Yulong and Hailuogou tourism zones since 1990 is representative of this overall trend. In the near term, both zones are forecasted to continue developing rapidly. If tourist arrivals are calculated based on the average annual growth rates of 25.1% and 27.2% that occurred during the period 1990-2017, tourist arrivals in the two zones will reach 5.6×107 and 3.7×106, respectively, by 2020. The THFs will increase to 7.0 Wm-2 and 0.6 Wm-2 in the Yulong and Hailuogou tourism zones, respectively, resulting in increases of 95.3% and 106.0% over 2017. If tourist arrivals are conservatively estimated using the national average of 10% (The People’s Republic of China, 2015), by 2020, tourist arrivals in the Yulong and Hailuogou tourism zones will reach 3.8×107 and 2.4×106, respectively. The THFs of the tourism zones will increase to 4.8 Wm-2 and 0.4 Wm-2, respectively, an overall increase of 33.3% over 2017. These projections indicate that the effect of the THF from large-scale tourism activities will continuously increase, accelerating glacial melting.
Notably, transportation is not the main component of the THF. This finding differs from previous conclusions that “transportation is the main component of tourism ecological footprint (Patterson et al., 2007) and tourism carbon footprint (Sun, 2014)”. The main reason for this difference lies in the fact that our study primarily examined the THF of transportation in the tourism zone only, thereby excluding transportation from the generating region to the destination. This measurement ensures the consistency of the THF and the measurement scope of the tourism zone. In contrast, calculation of the tourism ecological footprint and the tourism carbon footprint often takes into account both transportation within tourism destinations and transportation from the generating region to the destination (Patterson et al., 2007), resulting in a large contribution of transportation to the tourism ecological and carbon footprints.
Researchers believe that the amount of heat released by human bodies (glacial tourists) is insignificant (He et al., 2003b). Yuan et al. (2008) quantitatively measured the heat released by human metabolism during glacial tourists’ activities and the amount of solar radiation that impacted glaciers. The results showed that the amount of heat released by human metabolism was far less than the amount of heat produced by solar radiation. Therefore, the impact of human metabolism on glacial changes is limited. However, the heat released by tourists constitutes only a small portion of the heat generated by tourism activities. The analysis presented in this paper shows that the heat footprint of human metabolism in the Yulong and Hailuogou tourism zones accounts for less than 5% of the total THF. Compared with the heat released by human bodies, the amount of heat released by energy consumption associated with providing support to tourists during tourism activities (including catering, accommodation, transportation, sightseeing, shopping, entertainment, and waste disposal) is larger, exceeding 95% of the total THF. Therefore, to comprehensively assess the impact of tourism activities on glacial changes, the THF measurement must be analyzed both in terms of the metabolism of the human body and in terms of the energy consumed in such activities.
Due to data limitations, our THF measurement in the Yulong and Hailuogou tourism zones only included the direct heat generated by seven components: transportation, accommodation, sightseeing, catering, entertainment, shopping and waste disposal. The analysis did not include indirect heat generation. Therefore, the THF measurement resulted in a value that is lower than the actual value. Previous studies of the tourism carbon footprint have shown that the indirect footprint is one of its important components. Tourism’s indirect carbon footprint is approximately 30% to 110% of the direct carbon footprint (Filimonau et al., 2013). If calculated based on the average value, the magnitude of the THF generated by indirect services for tourism activities in the Yulong and Hailuogou tourism zones is approximately 70% that of the direct footprint. The combined THF (i.e., the direct and indirect heat footprints) will continue to increase, thereby further increasing the impacts on glacial changes. Because of the absence of survey data for energy consumption during tourism activities in the Yulong and Hailuogou tourism zones prior to 2016, this study used survey data obtained during 2016-2017 as a standard to calculate the energy consumption and heat footprint proportions of seven components from 1990 to 2017. The statistical approach used here does not entirely account for the dynamically changing characteristics of the energy consumption and proportion structure during tourism activities. To compensate for this drawback, future research should construct a THF monitoring network based on typical glacial tourism destinations in order to create an annual survey data system. Such a network would contribute to the accurate analysis of the year-to-year dynamic changes in the direct THF and permit examination of the impact of specific factors on the THF. An indirect THF monitoring network should also be established. Such a network would facilitate the investigation of the indirect THF generated by indirect tourism services, such as primary, secondary, and tertiary industries, tourism material production, manufacturing and sales and tourism management agency operations. In this way, a comprehensive assessment of the THF generated by tourism activities and its impact on glacial changes could be performed.
5. Conclusion
Tourism development and the influx of large numbers of tourists into tourism destinations may directly and indirectly affect natural resources and the environment of tourism sites. Assessing this impact is an important aspect of sustainable tourism research that remains unexplored. Using two typical glacial tourism sites (the Yulong and Hailuogou tourism zones) in China as examples, this paper used the THF method to examine the effect of large-scale tourism activities on accelerating glacial retreat. The results highlight three main insights. (1) The THFs generated by regional tourism development in the Yulong and Hailuogou tourism zones have increased rapidly since 1990, increasing from 8.7×10-3 and 4.0×10-4 Wm-2 in 1990 to 3.6 and 3.0×10-1 Wm-2 in 2017, respectively, with average annual growth rates of 25.0% and 27.8%, respectively. Furthermore, because China is presently in an era of comprehensive mass tourism development, the two tourism zones will continue to exhibit rapid development, and the THFs will increase in the future. (2) The largest proportion of the THFs in the Yulong and Hailuogou tourism zones derives from tourism accommodation; in the two zones, tourism accommodations account for 39.1% and 38.5%, respectively, of the total THF. The second largest proportion of the THF corresponds to tourism catering, and tourism transportation ranks third. These three tourism activities, i.e., tourism accommodation, catering, and transportation, are the main sources of the THF, together representing approximately 90% of the total THF. (3) In the context of global climate change, the THFs generated by large-scale tourism activities within the Yulong and Hailuogou tourism zones have significant local temperature-increasing effect. And these temperature increases have had a cumulative effect on glacial changes. This effect is contrary to the sustainability of glacial tourism and destinations.
This study fills an existing research gap by evaluating the impact of tourism activities on glaciers at tourism destinations using the THF method. The THF method compensates for the limitations of other methods. This method expands the analytical perspective of sustainable tourism research and enriches the existing understanding of tourism’s impact on natural resources. However, this study also has some limitations. Due to data limitations, our analysis did not include indirect energy consumption due to tourism activities, resulting in a THF value that was smaller than the actual value in the Yulong and Hailuogou tourism zones. And due to the absence of survey data for energy consumption prior to 2016, this study used the survey data for 2016-2017 as a standard for calculating the THF from 1990 to 2017. The THF values calculated for this period are likely somewhat different from the actual values due to the dynamically changing characteristics of energy consumption in these areas. A THF monitoring network must be constructed and used to form an annual survey data system at glacial tourism destinations. This would make it possible to conduct an accurate and comprehensive assessment of the THF generated by tourism activities and its impact on glacial changes. The THF monitoring network could easily be replicated at other glacial tourism destinations. This would provide decision support for managing glacial tourism destinations and for the sustainable development of glacial tourism. Furthermore, the THF method could be expanded and used to analyze the temperature-increasing effect of tourism activities on local, regional, national, and even global temperatures and on natural resources that are sensitive to temperature changes.
References:
Andres-Abellan, M., Del Alamo, J.B., Landete-Castilejos, T., López-Serrano, F.R., García-Morote, F.A., Del Cerro-Baria, A., 2005. Impacts of visitors on soil and vegetation of the recreational area “Nacimien to Del RfoMundo”. Environ. Monit. Assess. 101, 55–67. https://doi.org/10.1007/s10661-005-9130-4.
Azam, M., Alam, M.M., Hafeez, M.H., 2018. Effect of tourism on environmental pollution: further evidence from Malaysia, Singapore and Thailand. J. Clean. Prod. 190, 330–338. https://doi.org/10.1016/j.jclepro.2018.04.168.
Ballantyne, M., Pickering, C., 2013. Tourism and recreation: a common threat to IUCN red-listd vascular plants in Europe. Biodivers. Conserv. 22, 1–18. https://doi.org/10.1007/s10531-013-0569-2.
Canteiro, M., Córdova-Tapia, F., Brazeiro, A., 2018. Tourism impact assessment: a tool to evaluate the environmental impacts of touristic activities in Natural Protected Areas. Tour. Manage. Perspectives 28, 220–227. https://doi.org/10.1016/j.tmp.2018.09.007.
Castellani, V., Sala, S., 2012. Ecological footprint and life cycle assessment in the sustainability assessment of tourism activities. Ecol. Indic. 16, 135–147. https://doi.org/10.1016/j.ecolind.2011.08.002.
Chen, B., Shi, G., Dai, T., Shen, Y., Wang, B., Yang, S., Zhao, J., 2011. Climate forcing due to anthropogenic heat release over China. Climatic Environ. Res. 16, 717–722. (in Chinese with English abstract).
Cole, V., Sinclair, A.J., 2002. Measuring the ecological footprint of a Himalayan tourist center. Mt. Res. Dev. 22, 132–141. https://doi.org/10.1659/0276-4741(2002)022.
Cole, S., 2014. Tourism and water: from stakeholders to rights holders, and what tourism businesses need to do. J. Sustain. Tour. 22, 89–106. https://doi.org/10.1080/09669582.2013.776062.
Du, J., He, Y., Li, S., 2013. Mass balance and near-surface ice temperature structure of Baishui Glacier No.1 in Mt. Yulong. J. Geogr. Sci. 23, 668–678. http://doi.org/10.1007/s11442-013-1036-4.
Dwyer, L., Forsyth, P., Spurr, R., Hoque, S., 2010. Estimating the carbon footprint of Australian tourism. J. Sustain. Tour. 18, 355–376. http://doi.org/10.1080/09669580903513061.
Fanger, P.O., 1972. Thermal Comfort: Analysis and Applications in Environmental Engineering. New York: McGraw-Hill Book Company, pp, 28–30.
Filimonau, V., Dickinson, J.E., Robbins, D., Huijbregts, M.A.J., 2011. Reviewing the carbon footprint analysis of hotels: Life Cycle Energy Analysis (LCEA) as a holistic method for carbon impact appraisal of tourist accommodation. J. Clean. Prod. 19, 1917–1930. https://doi.org/ 10.1016/j.jclepro.2011.07.002.
Filimonau, V., Dickinson, J., Robbins, D., Reddy, M.V., 2013. The role of indirect greenhouse gas emissions in tourism: assessing the hidden carbon impacts. Transport. Res. A-Pol. 54, 78–91. https://doi.org/10.1016/j.tra.2013.07.002.
Flanner, M.G., 2009. Integrating anthropogenic heat flux with global climate models. Geophys. Res. Lett. 36. https://doi.org/10.1029/2008GL036465.
Fulton, P.N., 1984. Estimating the Daytime with the Urban Transportation Planning Package. Washington D.C.: Transportation Research Board, pp, 25–27.
Geffroy, B., Samia, D.S.M., Bessa, E., Blumstein, D.T., 2015. How nature-based tourism might increase prey vulnerability to predators. Trends Ecol. Evol. 30, 755–765. https://doi.org/10.1016/j.tree.2015.09.010.
Geneletti, D., Dawa, D., 2009. Environmental impact assessment of mountain tourism in developing regions: a study in Ladakh, Indian Himalaya. Environ. Impact Assess. Rev. 29, 229–242. https://doi.org/10.1016/j.eiar.2009.01.003.
Gössling, S., Peeters, P., Hall, C.M., Ceron, J., Dubois, G., Lehmann, L.V., Scott, D., 2012. Tourism and water use: supply, demand and security-an international review. Tour. Manage. 33, 1–15. https://doi.org/10.1016/j.tourman.2011.03.015.
Gössling, S., 2013. National emissions from tourism: an overlooked policy challenge. Energ. Policy 59, 433–442. https://doi.org/10.1016/j.enpol.2013.03.058.
Gössling, S., 2015. New performance indicators for water management in tourism. Tour. Manage. 46, 233–244. https://doi.org/10.1016/j.tourman.2014.06.018.
Hanandeh, A.E., 2013. Quantifying the carbon footprint of religious tourism: the case of Hajj. J. Clean. Prod. 52, 53–60. https://doi.org/10.1016/j.jclepro.2013.03.009.
He, Y., Zhang, Z., Theakstone, W.H., Chen, T., Yao, T., Pang, H., 2003a. Changing features of the climate and glaciers in China’s monsoonal temperate-glacier region since the Little Ice Age. J. Geophys. Res. 108, 4530–4536. https://doi.org/10.1029/2002JD003365.
He, Y., Gu, J., & Zhang, D., 2003b. What is the major reason for glacier retreat on Yulong mountain, China. J. Glaciol. 49, 325–326. https://doi.org/10.3189/172756503781830845.
Huhta, E., Sulkava, P., 2014. The impact of nature-based tourism on bird communities: a case study in Pallas-yllästunturi National Park. Environ. Manage. 53, 1005–1014. https://doi.org/10.1007/s00267-014-0253-7.
Hunter, C., 2002. Sustainable tourism and the touristic ecological footprint. Environ. Dev. Sustain. 4, 7–20. https://doi.org/ 10.1023/A:1016336125627.
Li, M., Zhang, J. Chen, J. Zhou, J. Wang, N., 2012. Estimating the energy carbon footprint of Huangshan National Park. Adv. Mate. Res. 535–537, 2214–2219. https://doi.org/10.4028/www.scientific.net/AMR.535-537.2214.
Li, Z., He, Y., Yang, X., Theakstone, W.H., Jia, W., Pu, T., Liu, Q., He, X., Song, B., Zhang, N., Wang, S., Du, J., 2010. Changes of the Hailuogou glacier, Mt. Gongga, China, against the background of climate change during the Holocene. Quatern. Int. 218, 166–175. https://doi.org/10.1016/j.quaint.2008.09.005.
León-Borges, J., Lizardi-Jiménez, M.A., 2017. Hydrocarbon pollution in underwater sinkholes of the Mexican Caribbean caused by tourism and asphalt: historical data series and cluster analysis. Tour. Manage. 63, 179–186. https://doi.org/10.1016/j.tourman.2017.06.018.
Katircioglu, S.T., 2014. International tourism, energy consumption, and environmental pollution: the case of Turkey. Renew. Sust. Energ. Rev. 36, 180–187. https://doi.org/10.1016/j.rser.2014.04.058.
Koralegedara, S.B., Lin, C., Sheng, Y., Kuo, C., 2016. Estimation of anthropogenic heat emissions in urban Taiwan and their spatial patterns. Environ. Pollut. 215, 84–95. https://doi.org/10.1016/j.envpol.2016.04.055.
Kuo, N.W., Chen, P.H., 2009. Quantifying energy use, carbon dioxide emission, and other environmental loads from island tourism based on a life cycle assessment approach. J. Clean. Prod. 17, 1324–1330. https://doi.org/10.1016/j.jclepro.2009.04.012.
Lang, M., Faimon, J., Pracný, P., Kejiková, S., 2017). A show cave management: anthropogenic CO2 in atmosphere of Výpustek Cave (Moravian Karst, Czech Republic). J. Nat. Conserv. 35, 40–52. https://doi.org/10.1016/j.jnc.2016.11.007.
Macdonald, C., Gallagher, A.J., Barnett, A., Brunnschweiler, J., Shiffman, D.S., Hammerschlag, N., 2017. Conservation potential of apex predator tourism. Biol. Conserv. 215, 132–141. https://doi.org/10.1016/j.biocon.2017.07.013.
Max, M., Karen, T., Calvin, J., 2013. Accounting for the carbon associated with regional tourism consumption. Tour. Manage. 36, 35–44. https://doi.org/10.1016/j.tourman.2012.11.005.
Mcdowell, G., Stephenson, E., Ford, J., 2014. Adaptation to climate change in glaciated mountain regions. Clim. Change 126(1–2), 77–91. https://doi.org/10.1007/s10584-014-1215-z.
Morrison, C., Pickering, C., 2013. Limits to climate change adaptation: case study of the Australian Alps. Geogr. Res. 51(1), 11–25. https://doi.org/10.1111/j.1745-5871.2012.00758.x.
Ning, B., He, Y., 2007. Tourism development and water pollution: case study in Lijiang Ancient Town. Chin. J. Popul. Resour. Environ. 17, 123–127. https://doi.org/10.1080/10042857.2015.1033806.
Nino, K., Mamo, Y., Mengesha, G., Kibret, K.S., 2017. GIS based ecotourism potential assessment in Munessa Shashemene Concession Forest and its surrounding area, Ethiopia. Appl. Geogr. 82, 48–58. https://doi.org/10.1016/j.apgeog.2017.02.010.
Niu, Q., Nie, C., Lin, F., Li, L., Ji, L., 2012. Model study of relationship between local temperature and artificial heat release. Sci. Chin. Technol. Sc. 55, 821–830. https://doi.org/10.1007/s11431-011-4669-5.
Ozturk, L., Al-Mulali, U., Saboori, B., 2016. Investigating the environmental Kuznets curve hypothesis: the role of tourism and ecological footprint. Environ. Sci. Pollut. Res. 23, 1916–1928. https://doi.org/10.1007/s11356-015-5447-x.
Patterson, T.M., Niccolucci, V., Bastianoni, S., 2007. Beyond “more is better”: ecological footprint accounting for tourism and consumption in Val di Merse, Italy. Ecol. Econ. 62, 747–756. https://doi.org/10.1016/j.ecolecon.2006.09.016.
Patterson, T.M., Niccolucci, V., Marchettini, N., 2008. Adaptive environmental management of tourism in the Province of Siena, Italy using the ecological footprint. J. Environ. Manage. 86, 407–418. https://doi.org/10.1016/j.jenvman.2006.04.017.
Pereira, R.P.T., Ribeiro, G.M., Filimonau, V., 2017. The carbon footprint appraisal of local visitor travel in Brazil: a case of the Rio de Janeiro-São Paulo itinerary. J. Clean. Prod. 141, 256–266. https://doi.org/10.1016/j.jclepro.2016.09.049.
Priskin, J., 2001. Assessment of natural resources for nature-based tourism: the case of the Central Coast Region of Western Australia. Tour. Manage. 22, 637–648. https://doi.org/10.1016/S0261-5177(01)00039-5.
Rankin, B.L., Ballantyne, M., Pickering, C.M., 2015. Tourism and recreation listed as a threat for a wide diversity of vascular plants: a continental scale review. J. Environ. Manage. 154, 293–298. https://doi.org/10.1016/j.jenvman.2014.10.035.
Saenz-de-Miera, O., Rosselló, J., 2014. Modeling tourism impacts on air pollution: the case study of PM10 in Mallorca. Tour. Manage. 40, 273–281. https://doi.org/10.1016/j.tourman.2013.06.012.
Sailor, D., Lu, L., 2004. A top-down methodology for developing diurnal and seasonal anthropogenic heating frofiles for urban areas. Atmos. Environ. 38, 2737–2748. https://doi.org/10.1016/j.atmosenv.2004.01.034.
Sánchez-Caballero, C.A., Borges-Souza, J.M., 2018. Characterization of the fish assemblage in different coastal habitats in an area heavily impacted by tourism. Reg. Stud. Mar. Sci. 18, 106–112. https://doi.org/10.1016/j.rsma.2018.01.005.
Šebela, S., Turk, J., 2014. Natural and anthropogenic influences on the year-round temperature dynamics of air and water in Postojna show cave, Slovenia. Tour. Manage. 45, 233–243. https://doi.org/10.1016/j.tourman.2013.06.011.
Sharp, H., Grundius, J., Heinonen, J., 2016. Carbon footprint of inbound tourism to Iceland: a consumption-based life-cycle assessment including direct and indirect emissions. Sustainability 8. https://doi.org/10.3390/su8111147.
Sun, Y., 2014. A framework to account for the tourism carbon footprint at island destinations. Tour. Manage. 45, 16–27. https://doi.org/10.1016/j.tourman.2014.03.015.
The People’s Republic of China, 2008. National Standard of the People’s Republic of China: General Principles for Calculation of Total Production Energy Consumption (GB/T 2589–2008). Beijing, China.
The People’s Republic of China, 2015. The Thirteenth Five-Year Plan (2016-2020). Beijing, China.
Tolvanen, A., Kangas, K., 2016. Tourism, biodiversity and protected areas-Review from northern Fennoscandia. J. Environ. Manage. 169, 58–66. https://doi.org/10.1016/j.jenvman.2015.12.011.
Tyrväinen, L., Uusitalo, M., Silvennoinen, H., Hasu, E., 2014. Towards sustainable growth in nature-based tourism destinations: clients’ views of land use options in Finnish Lapland. Landscape Urban Plan. 122, 1–15. https://doi.org/10.1016/j.landurbplan.2013.10.003.
United Nations World Tourism Organization (UNWTO), United Nations Environment Programme (UNEP), 2008. Climate Change and Tourism: Responding to Global Challenges. Madrid, Spain: UNEP/Earthprint.
Vaughan, D.G., Comiso, J.C., Alliso, I., Carrasco, J., Kaser, G., Kwok, R., Mote, P., Murray, T., Paul, F., Ren, J., Rignot, E., Solomina, O., Steffen, K., Zhang, T., 2013. Observations: cryosphere. In Stocker, T.F., Qin, D., Plattner, G.K., Tignor, M., Allen, S.K., Boschung, J., Nauels, A., Xia, Y., Bex, V., Midgley P.M. (Eds.), Climate Change 2013: The Physical Science Basis. Contribution of working group I to t he fifth assessment report of the Intergovernmental Panel on Climate Change (pp. 319–380). Cambridge, United Kingdom and New York, USA: Cambridge University Press.
Wang, S., He, Y., Song, X., 2010. Impacts of climate warming on alpine glacier tourism and adaptive measures: a case study of Baishui Glacier No.1 in Jade Dragon Snow Mountain, Southwestern China. J. Earth Sci. 21, 166–178. https://doi.org/10.1007/s12583-010-0015-2.
Wang, S., Hu, Y., He, H., Wang, G., 2017. Progress and prospects for tourism footprint research. Sustainability 9. https://doi.org/10.3390/su9101847.
Wang, S., Du, J., Li, S., Tang, P., Wang, G., 2018. Tourism heat footprint: a new approach to environmental impact assessment of tourism activities. Working paper, Institute of Mountain Hazards and Environment, Chinese Academy of Sciences.
Willard, B.E., Cooper, D.J., Forbes, B.C., 2007. Natural regeneration of alpine tundra vegetation after human trampling: a 42-year data set from Rocky Mountain National Park, Colorado, U.S.A. Arct. Antarct. Aip. Res. 39, 177–183. https://www.jstor.org/stable/4139128.
World Travel & Tourism Council (WTTC), 2017. Travel & Tourism Global Economic Impact & Issues 2017. London, UK: WTTC.
Wu, S., Chen, Y., 2016. Examining eco-environmental changes at major recreational sites in Kenting National Park in Taiwan by integrating SPOT satellite images and NDVI. Tour. Manage. 57, 23–36. https://doi.org/10.1016/j.tourman.2016.05.006.
Xu, B., Cao, J., Hansen J., Yao, T., Joswia, D.R., Wang, N., Wu, G., Wang, M., Zhao, H., Yang, W., Liu, X., He, J., 2009. Black soot and the survival of Tibetan glaciers. PNAS 106, 22114–22118. https://doi.org/10.1073/pnas.0910444106.
Yuan, L., He, Y., He, X., Lu, A., Zhao, J., Ning, B., Song, B., Zhang, N., Li, Z., 2008. Does body heat released by tourists contribute to glacier retreat in Yulong Snow Mountain. J. Glaciol. Geocryol. 30, 752–753. (in Chinese with English abstract)
Zhang, G., Pan, B., Cao, B., Wang, J., Cui, H., Cao, X., 2015a. Elevation changes measured during 1966–2010 on the monsoonal temperate glaciers’ ablation region, Gongga Mountains, China. Quatern. Int. 37, 49–57. https://doi.org/10.1016/j.quaint.2015.03.055.
Zhang, J., Wu, L., Yuan, F., Dou, J., Miao, S., 2015b. Mass human migration and Beijing’s urban heat island during the Chinese New Year holiday. Sci. Bull. 60, 1038–1041. https://doi.org/10.1007/s11434-015-0809-9.
Zhang, J., Xiang, C., Li, M., 2012. Effects of tourism and topography on vegetation diversity in the subalpine meadows of the Dongling Mountains of Beijing, China. Environ. Manage. 49, 403–411. https://doi.org/10.1007/s00267-011-9786-1.
Zhang, J., Wu, L., 2015. Modulation of the urban heat island by the tourism during the Chinese New Year holiday: a case study in Sanya City, Hainan Province of China. Sci. Bull. 60, 1543–1546. https://doi.org/10.1007/s11434-015-0864-2.
Acknowledgements
This work was supported by the National Natural Science Foundation of China under Grant 41501159, 41801137; and China Postdoctoral Science Foundation under Grant 2014M560731, 2016M600257. We would like to thank Qiao Liu, Pingping Tang, Mingbo Wang, Xiaoqin Ma, Jiaxing Dai, Mange Feng, Yan Wang, Wenzhuan Fan, Mingfei Duan, Feifei Wang for collecting data. Without their help this paper would not have been possible. We also thank the support provided by the National Natural Science Foundation of China and China Postdoctoral Science Foundation.